Journal Information
Vol. 61. Issue 8.
Pages 495-498 (August 2025)
Share
Download PDF
More article options
Vol. 61. Issue 8.
Pages 495-498 (August 2025)
Scientific Letter
Identification of Fractional Exhaled Nitric Oxide Cutoff Values for the Diagnosis of Asthma
Visits
849
Belen Muñoz-Sancheza,
, Antonio León-Lloredaa, Auxiliadora Romero-Falcona, Juan F. Medina-Gallardoa, Jose Luis Lopez-Camposa,b,1, Francisco J. Alvarez-Gutierreza,1
a Unidad Médico-Quirúrgica de Enfermedades Respiratorias, Instituto de Biomedicina de Sevilla, IBiS/Hospital Universitario Virgen del Rocío/CSIC/Universidad de Sevilla, Spain
b Centro de Investigación Biomédica en Red de Enfermedades Respiratorias (CIBERES), Institutor de Salud Carlos III, Madrid, Spain
This item has received
Article information
Full Text
Bibliography
Download PDF
Statistics
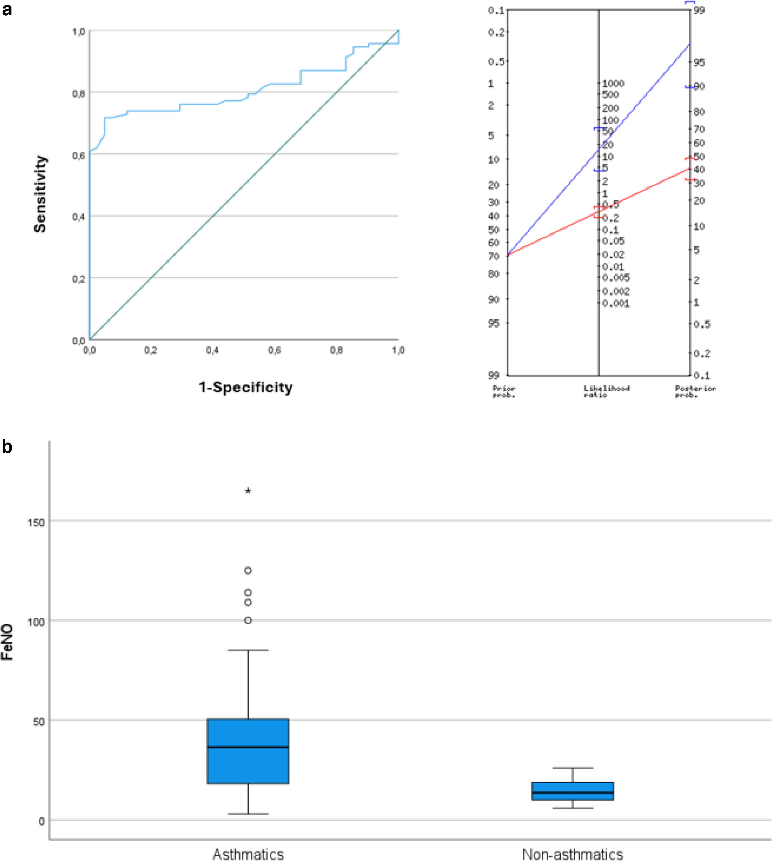
Figures (1)
Tables (1)
Table 1. Population Characteristics (Asthmatics and Non-Asthmatics Patients).
Tables

Article

These are the options to access the full texts of the publication Archivos de Bronconeumología
Member
If you are a member of SEPAR:
  • Go to >>>SEPAR<<< website and sign in.
Subscriber
Subscriber

If you already have your login data, please click here .

If you have forgotten your password you can you can recover it by clicking here and selecting the option “I have forgotten my password”
Purchase
Purchase article

Purchasing article the PDF version will be downloaded

Purchase now
Contact
Phone for subscriptions and reporting of errors
From Monday to Friday from 9 a.m. to 6 p.m. (GMT + 1) except for the months of July and August which will be from 9 a.m. to 3 p.m.
Calls from Spain
932 415 960
Calls from outside Spain
+34 932 415 960
Email
Archivos de Bronconeumología
Article options
Tools

Are you a health professional able to prescribe or dispense drugs?