Spain implemented a national asbestos ban in 2002 after decades of high industrial use. The long-term impact on pleural mesothelioma (PM) mortality remains incompletely characterised. This study evaluates age-, sex-, and cohort-specific mortality trends up to 2023 to assess regulatory effects.
MethodsWe analysed national mortality registry data spanning 1980–2023. Age–period–cohort (A–P–C) models were applied to quantify temporal trends, identify cohort and period effects, and examine sex-specific patterns. Local drifts and net drifts were estimated to assess age-specific changes in MPM mortality.
ResultsMale mortality showed a biphasic pattern, peaking around 2001–2002, followed by a modest decline in age-standardised rates. Female mortality declined steadily across the study period. Pronounced birth cohort effects were observed, with an 85% risk reduction between 1944 and 1974 male cohorts, reflecting reductions in occupational exposures over successive generations. Age-specific trends indicate steep declines among younger age groups, contrasting with continued elevated mortality in older cohorts exposed during Spain's industrial peak. Period effects were significant in men but not in women. Overall, trends suggest that post-2002 regulatory measures are starting to lower mortality rates, especially in younger age groups.
ConclusionsSpain is entering a transitional phase in which the long-term benefits of asbestos ban are becoming empirically evident. However, substantial mortality persists among older cohorts due to the prolonged latency of MPM. These findings underscore the value of early regulatory action and highlight the continued need for surveillance, clinical care, and legacy asbestos remediation to mitigate the long-term public health burden.
Pleural mesothelioma (PM) is the most common primary malignancy of the pleura and a well-established sentinel of past asbestos exposure [1–3]. With a long latency period, typically 30–50 years between exposure and disease onset, current mortality primarily reflects occupational and industrial practices from the mid-20th century [2,4–7]. This extended lag means PM deaths may continue to rise or plateau long after asbestos use has ceased, as highly exposed cohorts age into high-risk periods; present-day trends therefore mirror exposures from decades earlier [1,4,8–11].
In most Western countries, where asbestos regulation was introduced earlier, PM mortality has plateaued or begun to decline [1,4,8,12]. The United Kingdom and Nordic nations, for example, banned asbestos in the 1980s and recorded notable mortality reductions two to three decades later, coinciding with the disappearance of the most heavily exposed cohorts [1,2,13,14]. These temporal patterns—typically peaking 20–30 years post-ban—serve as reference points for assessing the effects of later prohibitions [1,4,8,15–17].
Spain's trajectory differed markedly. The country imported over 2.5 million tonnes of asbestos between 1906 and 2002, primarily for shipbuilding, construction, and asbestos-cement production [6]. Although consumption declined after the mid-1970s, a comprehensive ban was not implemented until 2002—two decades later than in most Western Europe—leaving Spain among the last EU members to prohibit asbestos [18]. Pleural cancer mortality increased steeply in the late 20th century, especially among occupationally exposed men. Projections based on data to 2010 predicted continued rises, though age-adjusted rates were expected to stabilise in cohorts born after the 1960s, while female mortality remained low but showed modest increases, likely attributable to environmental or para-occupational exposure [6].
Yet, no study has examined observed pleural cancer mortality in Spain beyond 2010. To address this critical evidence gap, we conducted a population-based time-series analysis of official mortality data from 1984 to 2023, applying Joinpoint regression and Age–Period–Cohort (A–P–C) models to evaluate recent trends and the delayed epidemiological impact of Spain's late asbestos ban.
MethodsStudy design and data sourcesWe conducted a population-based ecological time-series analysis of pleural cancer mortality in Spain from 1984 to 2023. Mortality data came from the National Statistics Institute (INE) official records, using ICD codes for pleural neoplasms: 163 (ICD-9) and C38.4, C45.0 (ICD-10). Annual population estimates stratified by age, sex, and year were obtained from INE to calculate age- and sex-specific rates.
Statistical analysisAge-standardised mortality rates (ASMRs) per 100,000 were computed via the direct method, using the 2013 European Standard Population as reference. Analyses were stratified by sex due to known differences in occupational asbestos exposure.
Temporal trends were analysed with the Joinpoint Regression Program (version 5.2.0.0; National Cancer Institute, USA) [19]. Default settings were used to estimate joinpoints, annual percentage change (APC) per segment, and average annual percentage change (AAPC) over 1984–2023. Segments were selected via the program's default permutation test (data-driven; max. 3 joinpoints), with no pre-specified breakpoints. Trends were classified as increasing/decreasing if p<0.05, or stable otherwise.
Age–Period–Cohort (A–P–C) modelling was performed using the National Cancer Institute's APC Web Tool [20]. Analyses were restricted to ages 35–84 to reduce instability in extreme groups. Models used log-linear Poisson regression with estimable functions to resolve non-identifiability, and weighted least squares to handle extra-Poisson variation. Key indicators included age-specific rates, period/cohort rate ratios (RRs), local drifts, and net drift. Central categories served as references [20] confirming acceptable fit. Formal residual diagnostics were not performed, as the tool does not provide such outputs; informal review showed no systematic patterns. Sensitivity analyses tested robustness by varying reference group placements (age, period, cohort) via the tool's interface; results were stable for net drift, local drifts, and rate ratios. All estimates include 95% confidence intervals (CIs).
ResultsBetween 1984 and 2023, a total of 8546 pleural cancer deaths were recorded in Spain. Men accounted for 6029 deaths (71%) and women for 2517 (29%), highlighting a marked sex disparity in disease burden. Most deaths occurred among individuals aged ≥60 years. Among men, mortality rose from 470 deaths in 1984–1989 to a peak of 987 in 2010–2014, followed by a decline to 777 in 2020–2024. Female mortality followed a similar but less pronounced pattern, increasing from 313 deaths in 1984–1989 to 346 in 2015–2019, and stabilising at 336 in 2020–2024. In recent years, deaths have become increasingly concentrated among women aged ≥85 years, reflecting cohort ageing and the long latency of pleural cancer rather than ongoing exposure.
Among men, age-standardised mortality rates (ASMRs) showed a biphasic trend (Fig. 1). From 1984 to 2001, mortality rose significantly (APC=3.6%; 95% CI 2.4–4.8), then declined modestly after 2001 (APC=−0.7%; 95% CI −1.3 to −0.1). Over the full study period, the average annual percent change (AAPC) remained positive (1.1%; 95% CI 0.6–1.7), reflecting the strong early increase preceding the 2002 asbestos ban. In contrast, female ASMRs declined steadily throughout the 40-year period (AAPC=−1.1%; 95% CI −1.6 to −0.7), indicating a sustained reduction in pleural cancer mortality among women (Fig. 1).
The male-to-female ASMR ratio also evolved over time. Between 1984 and 2007, it rose by 1.3% per year (95% CI 0.5–2.1), reflecting widening sex differences, followed by a decline of −1.6% per year (95% CI −2.6 to −0.5) through 2023. The overall AAPC=0.1% (95% CI −0.5 to 0.8) was not statistically significant, indicating long-term stability in relative sex differences.
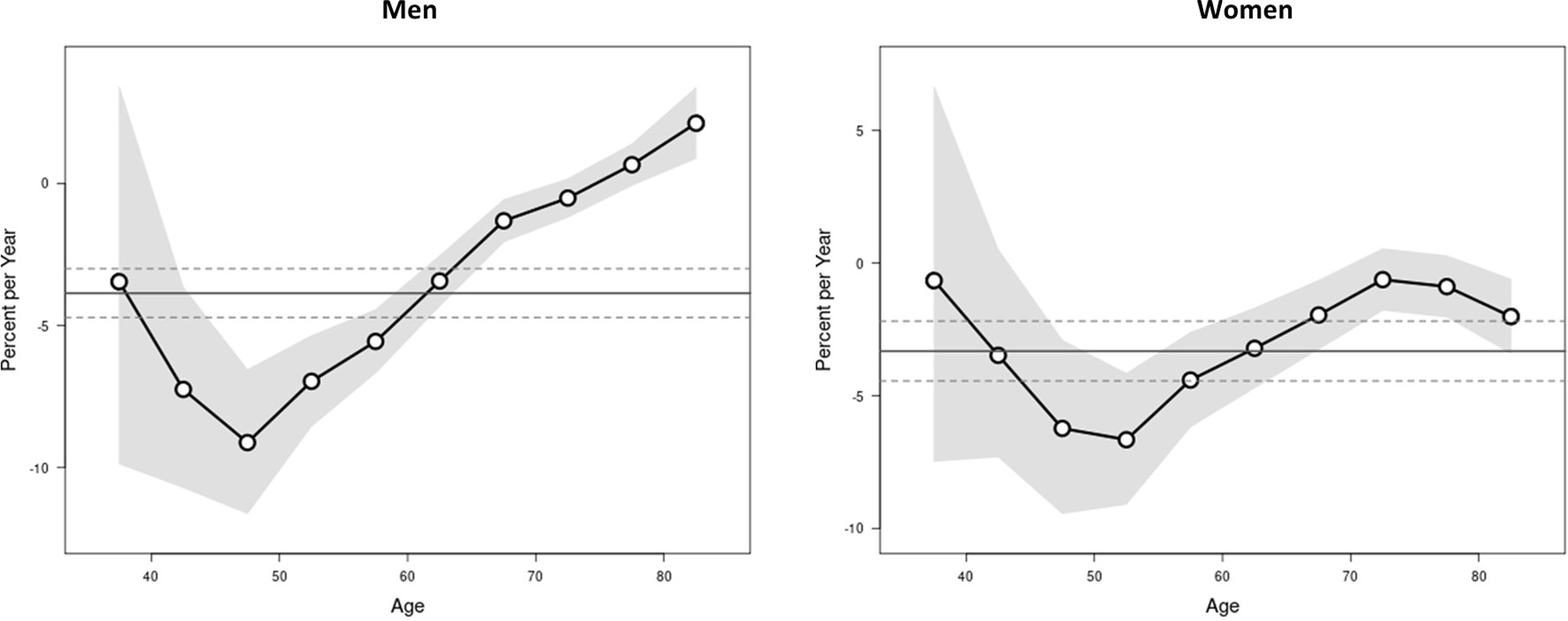
For men, the A–P–C model identified significant period and cohort effects (Table 1; Figs. 2 and 3). The net drift, representing the overall annual percentage change in age-adjusted rates, showed a significant decline (−1.6% per year; 95% CI −2.2 to −1.1). Period rate ratios (RRs) fell steadily from the reference year 2001.5 (RR=1.0) to 0.61 (95% CI 0.52–0.70) by 2021.5, indicating sustained improvement over time. The global test for period deviations was significant, suggesting distinct period-specific influences on mortality. Cohort effects were also strong: risk peaked among the 1944 birth cohort (RR=1.0) and declined sharply thereafter to 0.15 (95% CI 0.08–0.30) for the 1974 cohort. Earlier generations (e.g., 1904) had lower risks (RR=0.40; 95% CI 0.27–0.58), indicating a historical rise followed by a sharp post-1940s decline consistent with reduced occupational asbestos exposure (Fig. 3). Local drifts demonstrated substantial age variation (Fig. 2): mortality declined most rapidly among younger adults (−5.4% per year at 47.5 years) but increased modestly in older groups (+2.3% per year at 82.5 years). The significant difference between local and net drifts indicates age-dependent temporal changes, with declining risk in younger cohorts and persistence among older, heavily exposed individuals.
Goodness-of-fit and hypothesis tests of age–period–cohort (A–P–C) model components for pleural cancer mortality in men and women, Spain, 1984–2023.
| Men | Women | ||||
|---|---|---|---|---|---|
| df | X2 | p-Value | X2 | p-Value | |
| NETDRIFT=0 | 1 | 74.91 | 0.000 | 32.19 | 0.000 |
| ALL AGE DEVIATIONS=0 | 8 | 19.88 | 0.011 | 7.93 | 0.441 |
| ALL PERIOD DEVIATIONS=0 | 3 | 1.23 | 0.746 | 0.55 | 0.907 |
| ALL COHORT DEVIATIONS=0 | 12 | 135.29 | 0.000 | 26.01 | 0.011 |
| ALL PERIOD RR=1 | 4 | 76.44 | 0.000 | 33.27 | 0.000 |
| ALL COHORT RR=1 | 13 | 160.17 | 0.000 | 54.60 | 0.000 |
| ALL LOCAL DRIFTS=NET DRIFT | 10 | 129.11 | 0.000 | 23.97 | 0.008 |
Among women, the A–P–C model also indicated a significant overall decline (net drift=−2.1% per year; 95% CI −2.8 to −1.5). Period RRs decreased from the reference 2001.5 (RR=1.0) to 0.58 (95% CI 0.47–0.72) in 2021.5, though the test for period deviations was not significant, suggesting a gradual long-term reduction rather than abrupt period effects. Cohort effects were significant, with higher risks in earlier cohorts (e.g., 1914; RR=1.36; 95% CI 1.07–1.72) and steady declines after 1944 (e.g., 1969; RR=0.34; 95% CI 0.19–0.60) (Fig. 3). Local drifts revealed significant decreases across most ages, particularly in midlife (−4.4% per year at 47.5 years; 95% CI −6.0 to −2.8), with consistent reductions from 42.5 to 77.5 years. The significant difference between local and net drifts indicates minor age-specific variation, though overall the downward trend in women was more uniform than in men.
DiscussionThis nationwide, population-based study provides the first empirical assessment of pleural cancer mortality trends in Spain through 2023, filling a critical evidence gap beyond prior projections [6]. The findings mark a pivotal turning point in Spain's PM epidemic. Among men, ASMRs showed a biphasic pattern: a marked rise from 1984 to 2001 (APC=3.6%), followed by a modest but significant decline after 2001 (APC=−0.7%). The overall AAPC remained slightly positive (1.1%), driven by the pronounced pre-ban increase. Female ASMRs declined steadily across the four decades (AAPC=−1.1%). These patterns align with international evidence confirming consistent reductions in mesothelioma burden following asbestos bans [1,4,7,9,11].
Absolute male deaths peaked at 987 (2010–2014) and fell to 777 (2020–2024), confirming entry into the post-peak phase ∼20 years after the 2002 ban. This latency-dependent trajectory mirrors trends in other industrialised countries [1,4,8,9,11]. Italy, despite its 1992 ban, projects ∼7000 cases in 2020–2024 and ∼26,000 deaths from 2020–2039 before decline [17,21,22], underscoring that asbestos-related mortality persists long after exposure ends.
The biphasic male pattern reflects historical exposure intensity followed by regulatory control. The inflection near 2001–2002 coincides with Spain's asbestos ban and signals the epidemic's shift past its apex. This decline results from decades of improved industrial safety, occupational regulations, and diagnostic progress—not the ban alone [6,10,23]. The continuous decline in female mortality suggests lower cumulative exposure, primarily via para-occupational (household) and environmental pathways, though Spain lacks a dedicated national mesothelioma incidence registry (unlike Italy's ReNaM), with surveillance depending mainly on mortality data and occupational disease notifications.
Spain had no domestic asbestos production; consumption relied entirely on imports, totalling 2,514,391 metric tonnes from 1906 to 2002 [6]. Imports rose steadily from the early 1900s, accelerated sharply in the 1960s, peaked in 1973–1977 (average 113,921 tonnes/year; maximum 130,293 tonnes in 1974), and declined progressively thereafter but continued until the chrysotile ban (effective June 2002) [6]. This late usage reflected Spain's reliance on construction, shipbuilding, and manufacturing—sectors that widely used asbestos for insulation, cement products, and friction materials [10,23,24]. Chrysotile predominated in later decades, though earlier amphibole imports (including crocidolite) likely contributed to higher potency in peak cohorts; detailed fibre-type breakdowns remain limited in public records.
Spain's regulatory framework evolved alongside industrial use: asbestosis recognition and exposure limits began in 1961; lung cancer and mesothelioma were included in 1978; specific regulations followed in 1984; Law 20/1986 classified asbestos as toxic/hazardous; the chrysotile ban occurred in December 2001 (ahead of the EU deadline); and Decree 1299/2006 consolidated recognition of asbestos-related cancers as occupational diseases [10,23]. These legislative steps represent a shift from a reactive approach to preventive occupational health, mirroring European and global asbestos-control policies [11,18]. This progressive, multi-decade effort—not the 2002 ban in isolation—drove reduced exposure across successive cohorts and the observed mortality reversal.
The A–P–C analysis confirms this trend, attributing the decline primarily to generational turnover. A–P–C modelling, particularly when using restricted cubic splines to capture long-latency dynamics (as in Italian studies) [13], allows a precise separation of age, period, and cohort effects, improving on traditional linear models [2,13,20].
The negative net drift (−1.6% annually) signifies a sustained fall in population risk, driven predominantly by birth cohort effects. Mortality peaked in the 1944 birth cohort (workforce entry during 1960s import escalation) and declined sharply among those born after 1960. This classic signature of a long-latency occupational carcinogen indicates reduced cumulative exposure in younger generations, not better survival rates.
Spain's delayed peak is consistent with other late-ban countries such as Italy, which reached its maximum 20–25 years after prohibition, contrasting with earlier declines in early-ban nations like the UK [4,8,15,17,18]. This temporal variation across Europe underscores how historical industrial intensity, the timing of regulation, and surveillance quality collectively influence epidemiological outcomes [1,9,11,14,18].
Marked sex differences highlight divergent exposure pathways. The persistent excess in men, accounting for approximately 70% of deaths, reflects the dominance of high-risk occupations in shipbuilding, construction, and manufacturing. Among women, the continuous and nearly linear decline, with minimal period effects, indicates lower cumulative exposure and gradual reduction in domestic and environmental contamination. However, global data suggest that female mesothelioma mortality has declined more slowly in many regions, underscoring the growing relevance of non-occupational exposure pathways [4]. Spanish cohort studies further confirm the role of household exposure as an independent determinant of asbestos-related mortality, emphasising the importance of secondary and environmental pathways in shaping sex-specific trends [24].
Age-specific analyses further clarify the temporal dynamics of the epidemic. Among men, local drifts showed a sharp decline at younger ages (−5.4% per year at age 45–49 years), reflecting markedly reduced cumulative asbestos exposure in post-1960 birth cohorts who entered the workforce during or after progressive regulatory tightening (from 1984 onward) and the 2002 national asbestos ban. In contrast, local drifts remained stable or slightly increased at older ages (+2.3% per year at age 80–84 years), capturing the delayed manifestation of high-intensity, long-latency occupational exposure among heavily exposed cohorts born 1930–1960, who are now reaching the peak diagnostic ages for pleural mesothelioma. This pronounced age-dependent divergence—also evident in the raw data—confirms that the overall population-level decline is driven predominantly by generational turnover rather than abrupt period-wide changes in exposure or survival. The persistence of elevated risk in these older cohorts implies that pleural mesothelioma mortality will remain substantial through the 2030s before more marked numerical declines occur, consistent with projections from other late-ban countries [11,15,17,22]. Spain must prepare for a prolonged period of high disease rates among older men, requiring ongoing investment in clinical care and resources over the next 20 years. The continued increase in deaths among women aged 85 and over (up from 268 between 2020 and 2024) also highlights the substantial health challenges faced by the oldest female cohorts.
The projected persistence of elevated mortality through the 2030s has important clinical implications. Recent advances in immunotherapy have transformed the therapeutic landscape for mesothelioma. Combination ipilimumab and nivolumab therapy has demonstrated superior overall survival (18.1 months) compared with platinum-based chemotherapy (14.1 months) in the CheckMate 743 trial, prompting FDA approval as first-line treatment for unresectable pleural mesothelioma [25]. Although real-world survival remains somewhat lower than in trial settings, these developments highlight the potential of immunotherapy to improve outcomes [26]. As Spain's epidemic enters prolonged decline, public health priorities must encompass: sustained surveillance to track trajectory and identify new exposure sources; enhanced diagnostic and treatment capacity including immunotherapy access; adequate palliative resources; rigorous management of legacy asbestos in buildings during demolition/renovation where secondary exposure risks persist [10,23]; and compensation programmes for exposed workers and communities.
Geographic heterogeneity in pleural cancer mortality has been documented in Spain, with elevated rates historically concentrated in regions with major shipbuilding, construction, and asbestos-cement industries (e.g., Barcelona Province, Galicia, and parts of Valencia), reflecting localised occupational and para-occupational asbestos exposure [6]. While the present study focuses on national temporal and cohort trends, these spatial patterns underscore the potential value of detailed geographic mapping to identify historical high-risk clusters and inform targeted prevention.
Future research should prioritise registry-based studies that combine histological confirmation with detailed exposure histories (occupational, environmental, and household) to strengthen causal inference and improve projection accuracy. Sustained, harmonized national surveillance is essential to monitor the ongoing decline of the epidemic and detect any emerging exposure sources. Deeper investigation of sex-specific differences in exposure pathways, latency, and survival will help refine prevention strategies and clinical management. Finally, characterising residual occupational risk among current construction, maintenance, and demolition workers remains critical, as legacy asbestos in buildings and infrastructure continues to pose a significant hazard despite the 2002 ban [10,23,24].
Spain's experience offers important lessons for countries where asbestos use persists. The delayed but now evident mortality decline illustrates the long-term effectiveness of comprehensive regulation, while also highlighting the decades-long lag between exposure cessation and measurable health gains. With global asbestos consumption still exceeding two million tonnes annually—predominantly in Asia, Africa, and Eastern Europe—Spain's trajectory underscores both the preventable burden of delayed regulation and the substantial public health benefits achievable through prohibition [9].
The interpretation of these results must consider the study's methodological strengths and limitations. A key limitation is the use of pleural cancer mortality data (ICD-9: 163; ICD-10: C38.4, C45.0) rather than histologically confirmed mesothelioma incidence, which may introduce minor misclassification (≈25–30% of male deaths potentially non-mesothelioma). Spanish validation studies nevertheless show high specificity (≈70–77% in men overall, 77% in 2006–2011 [849/1096 male deaths] [6], though community cohorts indicate lower proportions in some settings [24] highlighting the need for improved histological verification in registries [24]. As an ecological analysis, it is restricted to population-level associations due to the absence of individual exposure data [1,6].
The 1999 ICD-9 to ICD-10 transition could introduce artefactual shifts [8]. We deliberately used pleural cancer mortality across 1984–2023 for temporal continuity—a standard approach when ICD-9 lacks a specific mesothelioma code [6]. To evaluate this transition and the exclusion of unspecified cases, we conducted a sensitivity analysis for the ICD-10 period (1999–2023) including code C45.9 (mesothelioma, unspecified site). Although C45.9 accounted for 38% of all mesothelioma deaths (C45.x) in Spain, its inclusion did not alter the fundamental direction of our results. Under this broader definition, male mortality showed a statistically significant decline of −2.2% annually (95% CI: −6.2 to −0.2) between 2016 and 2023. This result, alongside our primary findings, indicates that the sustained post-2001 decline supports a genuine trend, backed by: high/stable specificity; the persistence of the decline through 2023 across different coding definitions (which is inconsistent with transient coding effects); validation in Southern European settings [15,22]; alignment with Spain's 2002 asbestos ban and prior consumption decline; and strong cohort effects in A–P–C analysis (peak 1944 cohort), which coding changes would not explain.
Earlier underreporting and limited power in older ages require cautious interpretation of subtle changes. Future linkage of mortality, histological, and exposure data will refine estimates and forecasting [1,6].
Despite limitations, this nationwide study empirically confirms previously projected inflection points [6]. Rigorous A–P–C modelling identifies generational turnover as the main driver, providing strong epidemiological coherence linking regulatory policy to a reduced disease burden [6,10,23].
ConclusionsPleural cancer mortality in Spain is now post-peak, with male rates declining since the early 2000s and female rates falling long-term. This decline is mainly due to strong birth cohort effects reflecting reduced exposure in post-1960 generations, consequent to progressive regulatory controls culminating in the 2002 asbestos ban, confirming the expected long-latency response. Yet, elevated mortality is projected to continue for older men through the 2030s due to carry-over latency. Spain's experience highlights the delayed yet decisive impact of comprehensive prohibition, providing a valuable model that demonstrates how sustained regulation and early policy can significantly reduce the national burden of asbestos-related disease.
Author contributionsAll authors contributed to the conception and design of the study, data acquisition, analysis, and interpretation. They were involved in drafting the manuscript and revising it critically for important intellectual content. All authors approved the final version of the manuscript and agree to be accountable for all aspects of the work, ensuring that any questions related to its accuracy or integrity are appropriately investigated and resolved.
Ethics and informed consent statementThis study used publicly available and de-identified data; therefore, obtaining informed consent was not required. The study was conducted in accordance with the principles of the Declaration of Helsinki and adheres to the STROBE reporting guideline.
Artificial intelligence involvementArtificial intelligence was used exclusively to improve the linguistic style of the text, without altering its content or meaning.
Funding of the researchThe authors have no relevant financial or non-financial interests to disclose.
Conflicts of interestThe authors declare that they have no conflicts of interest related to the content of this manuscript.
Data availabilityThe data supporting the conclusions of this study are publicly available at: https://www.ine.es/.












