Pediatric acute respiratory distress syndrome (PARDS) is a critical condition associated with considerable morbidity and mortality. Trials in adults showed controversial results about neuromuscular blocking agents (NMBAs) use in adult acute respiratory distress syndrome. With limited data in PARDS, we sought to compare the outcomes of continuous cisatracurium infusion versus intermittent bolus administration in children with PARDS.
MethodsThis multicenter randomized controlled study was performed on patients with PARDS. Enrolled patients were categorized into: group I: patients treated with intermittent boluses of cisatracurium and group II: patients treated with intravenous infusion of cisatracurium for 24h. The primary outcome was the duration on mechanical ventilator (MV). Additional results included changes in ventilatory parameters, and length of pediatric intensive care unit (PICU) stay.
ResultsGroup II was associated with a significantly higher extubation from MV compared to group I, after accounting for death as a competing event. This association was confined to moderate-to-severe PARDS (subdistribution hazard ratio (SHR) 3.25, 95% CI 1.69–6.25, p<0.001) and not observed in mild PARDS. Similar with earlier PICU discharge, with stronger effect in moderate-to-severe disease (SHR 3.16, 95% CI 1.64–6.11, p<0.001). By day 7, patients with moderate-to-severe PARDS in group II showed lower fraction of inspired oxygen, mean airway pressure, and oxygenation index.
ConclusionsIn PARDS, cisatracurium infusion was associated with better oxygenation, earlier extubation from MV and shorter PICU stay compared to intermittent boluses, with benefits limited to moderate-to-severe disease. Outcomes were similar in mild PARDS.
Acute respiratory distress syndrome (ARDS) is a severe clinical syndrome presents with dyspnea, tachypnea, refractory hypoxemia, decreased pulmonary compliance, and alveolar opacities on chest imaging. Historically, pediatric ARDS (PARDS) definitions were based on adult criteria, but the Pediatric Acute Lung Injury Consensus Conference (PALICC) later established criteria tailored to children [1–3]. PARDS presents as respiratory failure arising within one week of a known precipitating event, without complete explanation by heart failure or fluid overload, accompanied by chest radiography that reveals pulmonary infiltrates indicative of parenchymal illness [4].
A notable distinction from adult ARDS criteria is the incorporation of oxygenation index (OI) or oxygen saturation index (OSI) for severity classification. Mild PARDS is defined by an OI of 4 to less than 8, and an OSI of 5 to less than 7.5, moderate by an OI of 8 to less than 16 and OSI of 7.5 to less than 12, and severe by an OI of 16 or greater and an OSI of 12 or above [5].
The objectives of PARDS care are to address the underlying etiology, optimize oxygen delivery and air ventilation, with lung preservation from volutrauma, barotrauma, and atelectrauma. Non-depolarizing neuromuscular blocking agents (NMBAs) have been proposed as an adjunctive therapy for patients with intractable hypoxemia, ventilator dyssynchrony, and reduced pulmonary compliance [6,7]. NMBAs may improve oxygenation by decreasing oxygen consumption, promoting alveolar recruitment, and reducing respiratory muscle activity, thereby enhancing oxygen saturation (SpO2) and arterial oxygen partial pressure (PaO2) [8].
Cisatracurium, a 4 to 5 times more potent isomer of atracurium, offers a predictable organ-independent metabolism via Hofmann elimination, minimizing histamine release and laudanosine accumulation, making it safer and advantageous over other agents in critically ill pediatric patients requiring prolonged paralysis [9,10].
Evidence for NMBA use in ARDS remains conflicting. Some trials have reported that early cisatracurium infusion improves oxygenation, prolongs mechanical ventilator (MV) free days, and may improve survival [11–13], whereas others have shown no significant clinical benefit over standard care [14]. Given the limited evidence regarding the use of neuromuscular blockades in PARDS, we sought to compare the outcomes of continuous cisatracurium infusion versus intermittent bolus administration in children with PARDS.
Patients and methodsStudy design and settingThis randomized, prospective, open-label, parallel-group, multicenter study was conducted in the pediatric intensive care units (PICUs) of Tanta University Hospital and Ain-Shams University Hospital from March 2021 to March 2023 in accordance with the Consolidation Standards of Reporting Trials (CONSORT) 2010 statement for randomized controlled trials [15]. The study protocol was authorized by the Research Ethics Committee of Tanta and Ain-Shams Universities and was registered at ClinicalTrials.gov (Identifier: NCT05153525). Eligible patients were consecutively screened upon PICU admission using daily census reviews and enrolled after written guardian consent. Patients’ privacy and confidentiality were maintained throughout the study according to the institutional and international ethical standards.
Due to the open-label design, measures were taken to minimize bias in the study. Although treating physicians were aware of the treatment allocation, primary outcomes were based on predefined, objective clinical criteria applied across centers. Weaning from MV was guided by standardized institutional criteria; including clinical improvement of underlying disease, fraction of inspired oxygen (FiO2) ≤40% with positive end-expiratory pressure (PEEP) ≤5 cmH2O, stable hemodynamics with deescalating vasoactive support, and adequate gas exchange (OI ≤4). PICU discharge followed the institutional protocols requiring sustained respiratory and hemodynamic stability without need for advanced organ support. The outcome data was extracted from the medical record by investigators not involved in daily bedside management.
Study populationThe study included patients aged 2–60 months with a confirmed PARDS diagnosis. Diagnosis was made within 48h of admission according to the PALICC criteria [16]. The exclusion criteria included prior NMBA use at the time of admission, patients receiving anticonvulsants, severe hepatic dysfunction, known hypersensitivity or history of anaphylaxis due to cisatracurium, and pre-existing neuromuscular disorders that could exacerbate NMBAs’ effect and/or hinder effective spontaneous breathing.
Randomization and allocation concealmentRandomization was performed using permuted blocks with variable block sizes, stratified by site and baseline severity. The use of variable block sizes ensured allocation concealment by preventing the prediction of next assignment within each stratum. Allocation concealment was done using a centralized, password-protected electronic randomization system that released treatment assignments only after eligibility verification and completion of baseline severity assessment. Because randomization operated independently within each site by severity stratum, small deviations from the 1:1 split occurred in some strata which reflects the expected random variation rather than a systemic bias.
All patients were followed post-enrollment till PICU discharge or death, whichever occurred first. Enrolled patients were classified into two groups based on randomization (intention-to-treat (ITT) population): group I: fifty-nine patients received cisatracurium administered as intermittent boluses, and group II: fifty-one patients received cisatracurium administered as continuous intravenous (IV) infusion over 24h. A per-protocol analysis was defined to include only patients who received the assigned intervention without major deviations. Major protocol deviations were defined as: cross-over between treatment arms, premature discontinuation of the assigned cisatracurium regimen, administration of non-protocol NMBA (e.g., vecuronium, atracurium), and missing key outcome data, including duration of MV, change in OI, or survival status at PICU discharge.
MethodsAfter enrollment, each patient's guardian provided a full medical history, with stress on the onset and progression of respiratory distress, presence of fever, history of aspiration, prior medications or transfusion, previous cardiopulmonary conditions, and family history of chronic diseases. Demographic and anthropometric variables, such as age, sex, weight, height & head circumference, were recorded. A complete clinical examination was recorded, with emphasis on general examination, cyanosis, consciousness level, vital signs, and shock manifestations. Laboratory assessments comprised complete blood count (CBC), liver and kidney function tests, random blood glucose (RBG), and arterial blood gas analysis. These were conducted at baseline and subsequently on days 3 and 7. Imaging included chest X-rays for all studied cases and chest computed tomography (CT) as needed. Echocardiography was performed to rule out cardiogenic causes of pulmonary edema.
Patients were monitored for SpO2 via pulse oximetry, and ventilator settings were obtained directly from the MV, including PaO2/FiO2, OI, mean airway pressure (MAP), and PEEP. Sedation was standardized among patients using continuous fentanyl and midazolam infusions targeting a COMFORT-B score of 6–10. Lung-protective ventilation followed PALICC recommendations with a tidal volume of 5–7mL/kg predicted body weight.
The neuromuscular blocker Cisatracurium-hameln® (5mg/2.5mL) was administered as intermittent boluses or continuous IV infusion [17]. In the intermittent boluses group, infants and children <2 years received an initial dose of 0.15mg/kg IV over 5–10s, followed by repeated boluses of 0.1mg/kg as needed. While children aged ≥2 years received bolus doses of 0.1–0.15mg/kg IV. In the continuous infusion group, cisatracurium was initiated at 1–4mcg/kg/min and then titrated based on clinical responses and ventilator synchrony.
On admission, the Pediatric Risk of Mortality (PRISM) III score [18] and Glasgow Coma Scale (GCS) [19] were calculated for all cases. Serum interleukin-8 (IL-8) levels were measured at baseline and after 24h using a sandwich enzyme-linked immunosorbent assay (ELISA) method as per the procedure described by Deforge et al. [20].
Study outcomesThe primary endpoint was the duration of the MV, while secondary endpoints included changes in ventilatory parameters, PICU length of stay (LOS), and mortality.
Sample size calculationThe required sample size was estimated using Stata/MP 17 (StataCorp LLC, College Station, TX, USA). Since no prior studies compared intermittent boluses versus continuous infusion of cisatracurium in managing PARDS, a pilot study, enrolling 10 participants per arm, was undertaken to generate preliminary data for determining the sample size. As the study's primary outcome, duration on MV, is a time-to-event variable, the sample size was calculated using survival analysis. Log-rank test was used to detect differences in time-to-successful extubation between the two intervention strategies with death prior to extubation treated as a competing event for efficacy and retained as an outcome in accordance with ITT principles. Preliminary effect size estimation indicated a hazard ratio of 0.45 for the infusion versus bolus dosing strategy. With a two-sided α error of 0.05, a statistical power of 95%, and a 1:1 allocation ratio, a total of 92 participants were required to detect a clinically meaningful difference. To preserve statistical power in the presence of potential losses, the planned enrollment was set at 110 randomized participants (55 per group).
Statistical analysisFollowing data collection, a code sheet was formulated, and data was analyzed utilizing IBM SPSS v28, September 2022, USA. Shapiro–Wilk test was applied to assess normality of continuous data, and it was reported as mean±standard deviation or median (interquartile range) where appropriate. Independent samples t-tests were applied for normally distributed data in between-group comparisons, and repeated-measures ANOVA with Tukey's post-hoc procedure was used for data collected on days 3 and 7. The Mann–Whitney U test was applied for between-group comparisons of non-normally distributed data, whereas repeated-measures analysis employed the Friedman test with Dunn's post-hoc adjustment. Categorical data were presented as counts and proportions, and associations were assessed using chi-square independence test. Time to event outcomes were analyzed using competing-risk regression to account for death as a competing event. Cumulative incidence functions were generated to visually compare the probability of extubation or PICU discharge over time between treatment groups. A two-sided p value of <0.05 was regarded as statistically significant.
ResultsA total of 142 patients were assessed for eligibility. After applying the inclusion and exclusion criteria, 32 patients were excluded. The remaining 110 eligible patients were randomized to receive either intermittent boluses of cisatracurium (group I, n=59) or continuous IV infusion (group II, n=51). During follow-up, 11 patients in group I and seven patients in group II discontinued the allocated intervention due to protocol deviations. However, they continued to be followed for outcome assessment. All randomized participants received the allocated intervention and were included in the ITT analysis (n=59 in group I; n=51 in group II) (Fig. 1).
There was no significant difference in demographic data, the etiology and severity of PARDS, PRISM III score, and GCS on admission between the studied groups. Regarding crude clinical outcomes, PICU mortality was significantly lower in group II compared to group I. Among survivors, patients receiving continuous cisatracurium infusion had a significantly shorter duration of MV and significantly shorter PICU LOS compared to those receiving intermittent boluses. Interleukin-8 showed no significant difference between the two studied groups at baseline and after 24h. However, interleukin-8 levels significantly decreased after 24h compared to day 1 in both groups as shown in Table 1.
Baseline characteristics and main outcomes of the intention-to-treat studied groups.
| Group I | Group II | p value | |
|---|---|---|---|
| (n=59) | (n=51) | ||
| Age (months) | 29.9±17.2 | 32.2±15.6 | 0.462 |
| Sex | |||
| Male | 37 (62.7%) | 28 (54.9%) | 0.441 |
| Female | 22 (37.3%) | 23 (45.1%) | |
| Weight (kg) | 12.8±3.9 | 13.7±3.4 | 0.279 |
| Height (cm) | 88.4±14.2 | 91.3±12.5 | 0.330 |
| BMI (kg/m2) | 16.1±2 | 16.3±2 | 0.479 |
| Etiology | |||
| Bronchopneumonia | 16 (27.1%) | 13 (25.5%) | 0.349 |
| Multiple organ dysfunction | 15 (25.4%) | 8 (15.7%) | |
| Septic shock | 13 (22.0%) | 9 (17.6%) | |
| Aspiration pneumonia | 11 (18.6%) | 18 (35.3%) | |
| Submersion injury | 4 (6.8%) | 3 (5.9%) | |
| Severity of PARDS | 0.880 | ||
| Mild | 24 (40.7%) | 22 (43.1%) | |
| Moderate | 15 (25.4%) | 14 (27.5%) | |
| Severe | 20 (33.9%) | 15 (29.4%) | |
| PRISM III score | 16.3±14.9 | 14.6±13.8 | 0.394 |
| GCS score | 9.1±3.8 | 10.1±3.3 | 0.140 |
| Main outcome variables | |||
| PICU mortality | 24 (40.7%) | 9 (17.6%) | 0.012* |
| PICU LOS (days) among survivors | 22 (15.5–30) | 17 (14–20) | 0.031* |
| MV duration (days) among survivors | 12 (8–16) | 9 (8–11) | 0.037* |
| Interleukin-8 (mg/dL) day 1 | 33 (18.5–68.4) | 23.1 (2.8–96) | 0.165 |
| Interleukin-8 (mg/dL) after 24h | 23.8 (14–54) | 14.3 (2.2–72) | 0.107 |
Data is presented as mean±standard deviation (SD) or median (interquartile range). BMI: body mass index; GCS: Glasgow Coma Scale; LOS: length of stay; MV: mechanical ventilation; PARDS: pediatric acute respiratory distress syndrome; PICU: pediatric intensive care unit; PRISM: Pediatric Risk of Mortality.
As shown in Table S1, no statistically significant differences were detected between the groups regarding heart rate (HR), mean arterial blood pressure (MABP), hemoglobin, RBG, white blood cells (WBCs) count, hepatic aminases, serum albumin or renal function at any measured time points. However, several significant within-group changes occurred during the follow-up period. Both groups showed significant reduction in HR, RBG, and serum lactate from day 1 to day 3 and 7, indicating metabolic recovery. Creatinine clearance increased significantly within both groups during follow-up, while serum AST decreased significantly in group II by day 7. Inter-group differences in serum lactate emerged by days 3 and 7, with group II showing significantly lower values.
When the studied groups were stratified by PARDS severity in Table S3, mild cases demonstrated no significant inter-group differences in any of the assessed hemodynamic, hematologic, or organ function parameters during the follow-up period. In moderate-to-severe PARDS, inter-group differences became noticeable over time. By day 7, MABP was significantly higher, and serum lactate was significantly lower in group II. Group II also showed higher reductions in alanine aminotransferase (ALT) and aspartate aminotransferase (AST). Although albumin and creatinine clearance improved significantly with both groups, they demonstrated more rapid recovery in the continuous infusion group.
Table S2 shows that both groups exhibited significant improvements in pH, partial pressure of carbon dioxide (PaCO2), PaO2, bicarbonate (HCO3), FiO2, OI, and P/F ratio from day 1 to days 3 and 7. Intergroup differences in the study was limited; however, by day 7 group II showed significantly higher pH, lower MAP, and lower FiO2.
Stratified analysis in Table S4 showed no significant differences between groups in mild PARDS for any of the ventilation or oxygenation parameters. Both groups showed significant improvements in pH, PaCO2, FiO2, OI, and P/F ratio. In contrast, moderate-to-severe PARDS showed significant differences favoring continuous cisatracurium infusion. By day 7, group II exhibited significantly higher pH, lower FiO2, reduced PEEP, and lower MAP. OI improved significantly more in group II at days 3 and 7. Also, P/F ratio was significantly higher in group II in the same period. Collectively, these findings indicate that while both regimens improved gas exchange and oxygenation indices over time, continuous cisatracurium infusion was associated with superior improvements in ventilatory mechanics clinical outcomes in moderate-to-severe PARDS, supporting its potential role in optimizing management in this subgroup (Fig. 2).
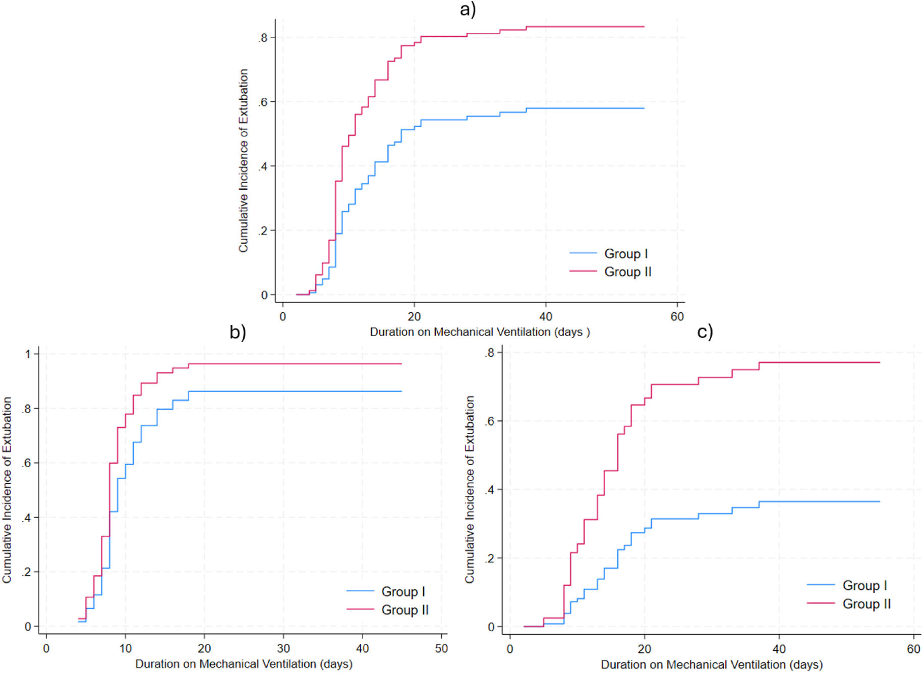
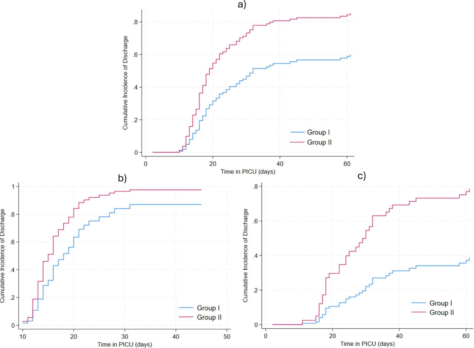
Competing-risk regression using the fine-Gray hazard model was conducted to account for death as a competing event for both duration on MV and PICU discharge. Continuous cisatracurium infusion was significantly associated with higher hazard of successful liberation from MV in all participants (SHR 2.07; 95% CI 1.34–3.2; p=0.001). When stratified by PARDS severity, this effect was not significant among mild PARDS patients but remained strong and highly significant in those with moderate-to-severe PARDS (SHR 3.25; 95% CI 1.69–6.25; p<0.001), showing a more than threefold likelihood of extubation relative to intermittent boluses. When conducted for PICU LOS, it demonstrated similar patterns. Continuous cisatracurium infusion was associated with a significantly higher hazard of PICU discharge in the intention-to-treat population (SHR 2.09; 95% CI 1.34–3.26; p=0.001). While it did not also reach significance in mild PARDS, it remained strong and significant in moderate-to-severe cases (SHR 3.16; 95% CI 1.64–6.11; p=0.001) (Table 2) (Figs. 3 and 4). No cases of anaphylaxis or severe hypotension were observed. No clinically apparent ICU acquired weakness was documented; however, no neuromuscular assessment tool was used.
Competing-risk regression evaluating the effect of treatment on extubation from mechanical ventilation and PICU discharge.
| Outcome | PARDS severity | SHR (group II vs group I) | 95% CI | p value |
|---|---|---|---|---|
| Extubation from mechanical ventilation | Overall | 2.07 | 1.34–3.20 | 0.001* |
| Mild | 1.67 | 0.92–3.05 | 0.091 | |
| Moderate–severe | 3.25 | 1.69–6.25 | <0.001* | |
| PICU discharge | Overall | 2.09 | 1.34–3.26 | 0.001* |
| Mild | 1.83 | 0.95–3.51 | 0.07 | |
| Moderate–severe | 3.16 | 1.64–6.11 | 0.001* | |
SHR: sub distribution hazard ratio from Fine-Gray competing-risk regression, treating death as a competing event. Group II: continuous cisatracurium infusion; group I: intermittent boluses.
Cumulative incidence curves for extubation from mechanical ventilation. Fine-Gray competing-risk analysis accounting for death as a competing event. (a) All randomized patients; (b) patients with mild pediatric acute respiratory distress syndrome (PARDS); (c) patients with moderate-to-severe PARDS.
Cumulative incidence curves for pediatric intensive care unit (PICU) discharge. Fine-Gray competing-risk analysis accounting for death as a competing event. (a) All randomized patients; (b) patients with mild pediatric acute respiratory distress syndrome (PARDS); (c) patients with moderate-to-severe PARDS.
PARDS, defined by PALICC in 2015 and updated in 2023, remains a significant cause of PICU morbidity and mortality [4,21]. In adults, early neuromuscular blockade has shown mixed effects on oxygenation and survival, leaving its role uncertain [22,23]. Evidence in PARDS remains limited.
In the current study, in moderate-to-severe PARDS cases, the continuous infusion group had lower FiO2, OI, MAP, and PEEP on day 7 compared to the intermittent bolus group. A significant reduction in OI, MAP, and PEEP over time was observed only in the continuous infusion group. These findings align with Chandra et al. [24] who reported significantly lower OI after 48h of continuous vecuronium infusion compared with a control group that did not receive NMBA therapy. Similarly, Wilsterman et al. [25] observed immediate improvements in OI, PaO2/FiO2, and decreased MAP following rocuronium infusion in infants with moderate-to-severe PARDS. Supporting these results, a meta-analysis by Gao et al. [26] demonstrated that, in adults with ARDS, early NMBA use within 48h improved PaO2/FiO2 by 72–96h and reduced PEEP and plateau pressure, suggesting improved ventilation and gas exchange.
The observed benefits of continuous NMBA infusion in moderate-to-severe PARDS may be related to improved patient-ventilator synchrony with more controlled ventilation during the early phase of lung injury [27,28]. While prior studies suggested that spontaneous breathing during mechanical ventilation may contribute to regional ventilation inhomogeneity and pendelluft phenomena, these mechanisms were directly assessed in the present study. Therefore, any mechanistic interpretation should be considered hypothesis-generating rather than confirmatory [29,30].
The present study demonstrated a significant reduction in IL-8 levels 24h after admission in both groups, with no significant difference between them. This aligns with Grawe et al. [31] who reported that NMBAs exerted molecular benefits by reducing key biomarkers of tissue injury and systemic inflammation, including IL-8, which is a marker of endothelial damage. These findings suggest that NMBAs may attenuate the inflammatory cascade contributing to lung injury in ARDS. Similarly, Sottile et al. [32] observed that the use of NMBAs in ARDS patients with a PaO2/FiO2 ≤120 was associated with decreased markers of epithelial and endothelial injury. They also highlighted that unregulated spontaneous breathing may exacerbate lung damage in severe ARDS, further supporting the use of controlled NMBAs in moderate-to-severe ARDS patients.
In the present study, after adjusting death as a competing event, continuous cisatracurium infusion remained independently associated with earlier extubation and PICU discharge. This effect was concentrated almost exclusively among children with moderate-to-severe PARDS, while no significant advantage was observed in mild cases. These findings are consistent with Chandra et al. [24] who observed a reduction in mortality in PARDS patients treated with vecuronium. Lyu et al. [33] found that early 48h NMBA infusion in adults with moderate-to-severe ARDS significantly reduced ICU mortality and recommended short-term NMBA use during the early phase. Similarly, Torbic et al. [34] concluded that early NMBA administration improved oxygenation, lowered the incidence of ventilator-induced lung injury, and reduced mortality.
Shorter MV duration is clinically relevant given the acknowledged association between prolonged ventilation and adverse outcomes in critically ill children as increased mortality, extubation failure, ventilator-associated pneumonia, lung injury, nosocomial infections, and prolonged PICU/hospital stay [35–37].
In moderate-to-severe PARDS, NMBA use should follow the implementation of a lung-protective ventilation strategy with optimized PEEP and adequate sedation. Once MV and sedation are stabilized, NMBA use should be guided by objective physiological indicators such as persistent ventilator asynchrony, refractory hypoxemia, or unsafe ventilation parameters. Importantly, NMBAs should be discontinued promptly once gas exchange improves to facilitate spontaneous breathing and minimize potential complications [38].
This study had some limitations. The sample size was relatively small, especially after the stratification by PARDS severity. Subgroup analyses were exploratory and not powered for independent statistical significance, therefore it should be interpreted with caution. The unblinded nature of the study may have introduced bias; however, its impact was mitigated by using objective, predefined criteria for extubation and PICU discharge. ICU-acquired weakness and neurodevelopment of survivors were not assessed using a validated neuromuscular assessment tool. The study did not include direct assessment of respiratory effort, regional ventilation, or lung mechanics, limiting mechanistic inference regarding the clinical benefit. Although the trial was prospectively registered with a planned follow-up period of 10 days, harmonization to a 7-day protocol was done to ensure consistent data capture across centers. This modification did not alter endpoint definitions or conclusions.
In conclusion, continuous cisatracurium infusion was associated with improved clinical outcomes in moderate-to-severe PARDS compared to intermittent boluses, including enhanced oxygenation, higher incidence of extubation from MV, and PICU discharge, while outcomes in mild PARDS were comparable between groups.
CRediT authorship contribution statementMKT: Conceptualization, Methodology, Formal analysis, Investigation, Resources, Writing – Original Draft, Visualization. HMI: Conceptualization, Methodology, Validation, Writing – Review & Editing, Supervision. HAB: Investigation, Validation, Writing – Review & Editing. OMI: Conceptualization, Methodology, Validation, Writing – Review & Editing, Supervision, Project administration.
Declaration of generative AI and AI-assisted technologies in the writing processNone of the material has been partially or totally produced with the help of any artificial intelligence software or tool.
FundingThe authors did not receive any funding or sponsorship support.
Conflicts of interestThe authors declare that they have no known competing financial interests or personal relationships that could have appeared to influence the work reported in this paper.














